教资笔试卷面达到多少分才及格?考前必须了解合格分换算规则!
添加顾问 立领优惠
很多小伙伴们都知道教资考69分的痛苦,70分及格,卡在69分让人心痛。做过真题试卷小伙伴们可能会感到疑惑:明明试卷总分是150分,为什么最后查成绩,总分又变成了120分?
这就涉及到卷面分转换为报告分的问题了~那为什么要转换呢?就让课代表给你细细道来~
一、卷面分和报告分
在分数转换的过程中,涉及到了两个很重要的分数:
卷面分:指真题卷分数,满分为150分。
报告分:指卷面满分通过公式换算的分数,满分为120分;报告合格分数为70分。
老师在阅卷的时候,会根据评分标准给小伙伴的试卷打一个卷面分(满分150分),之后再依据一定的换算标准,折合成报告得分。而报告分数就是小伙伴查成绩时的分数!只要报告分数≥70分,就合格啦!
二、换算标准:通过率
教师资格证考试是竞争性考试,通过设置比率以筛选出优质的教师资源。每个省份的通过率近似,经测算和历年观察,大概为30%。
通过率是怎样影响分数的?
举个例子:某省,去年教师资格证考生共9000人,通过率30%,第2700名考生卷面分数90分,所以90分是及格分数;今年考生共10000人,通过率29%,第2900名考生卷面分数92分,所以92分是及格分数。卷面分数低于92分的不合格。
试题难度和考生的整体水平,是影响合格分数的重要因素。这也是导致出现很多69分的小伙伴们的原因,很多人扎堆卡在一个分数段,分数稍高一些的就通过了,稍低一些的就卡到69分了。
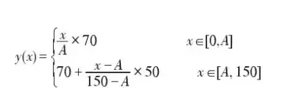
三、换算公式
卷面分数<及格分数时:Y(X)=X/A*70
卷面分数≥及格分数时:Y(X)=70+(X-A)/(150-A)*50

其中X=卷面分数,A=及格分数线,Y(X)=转换后的分数(即查询到的分数)
假如你的卷面得分是100分,而考试方依照比率设置的及格分数线是90分,那么你的报告分数=78.33分,大于70分,表示成绩合格。
假如你的卷面分是88分,考试方依照比例设置的及格分数线是90分,那么报告分数=68.44分,低于70分,表示成绩不合格。
假如你的卷面分是90分,及格分数线也是90分,那么报告分数=70分,表示成绩合格。
考多少分才能合格?
很多考过的同学会有这样的疑惑,为什么觉得很简单的科目一考试没过,拿不准的科目二却过了。结合通过率就不难理解了:
科目一:考察的内容通俗易懂,小伙伴觉得难度不大就没花费太多精力备考,其他小伙伴们也这样想,导致大家考试成绩都差不多,可是通过率又只有30%,成绩扎堆就导致一部分小伙伴被卡住了;
科目二:考察的内容专业性强,考虑到难度你专心复习,所以比其他人表现得要好一些,因此就过了。
课代表温馨提示:除了日常知识点的学习,小伙伴们还要注意做题哦~想要通关教资,把握做题套路也是很重要的,小伙伴们考前最好拿近5年的真题练手,找找做题的感觉,锻炼思路和做题速度,找到复习重点,不管是主观题还是客观题都不能大意,都需要好好复习。做题的同时,小伙伴们也要注意给自己打分,计算一下自己的卷面分,看看自己通关的概率,再进行有针对性地复习。最后,尽量把自己的得分情况控制在合格线内。当然,卷面分数越高越好!
粤ICP备18120811号
电子营业执照


